FEX 65 Banner

Estimation du nombre de cas d’émaciation durant la pandémie de COVID-19 : expériences empiriques au Sahel

Published: 

Read an English version of this article here

Par Saidou Magagi, Sumra Kureishy, Jessica Bourdaire et Katrien Ghoos

Saidou Magagi est chargé du suivi, de l’évaluation et de la gestion des connaissances en matière de nutrition au bureau régional pour l’Afrique de l’Ouest et du Centre du Programme alimentaire mondial.

Sumra Kureishy est nutritionniste au bureau régional pour l’Afrique de l’Ouest et du Centre du Programme alimentaire mondial.

Jessica Bourdaire est chargée de recherche en nutrition au sein de la division Nutrition au siège du Programme alimentaire mondial.

Katrien Ghoos est conseillère régionale en nutrition au sein du bureau régional pour l’Afrique de l’Ouest et du Centre du Programme alimentaire mondial.

Le Bureau régional pour l’Afrique de l’Ouest et du Centre du Programme alimentaire mondial souhaiterait remercier les partenaires qui ont participé à l’élaboration du modèle présenté dans cet article, notamment l’UNICEF, la Direction générale chargée de la protection civile et des opérations d’aide humanitaire européennes (ECHO), les donateurs, les gouvernements, ainsi que les groupes de travail et groupes thématiques sur la sécurité alimentaire et la nutrition.

Lieu : Burkina Faso, Mali, Mauritanie, Niger, Sénégal et Tchad.

Ce que nous savons : Le nombre de cas d’émaciation est généralement estimé en utilisant un facteur de correction d’incidence (K) de 1,6. Or, certains pays signalent que cette méthode de calcul conduit à des sous-estimations.

Ce que cet article nous apprend : Un nouveau modèle mathématique a été mis au point pour répondre au risque perçu de sous-estimation du nombre de cas d’émaciation dans les six pays du Sahel. Afin d’améliorer les estimations existantes, ce modèle mathématique a été élaboré à partir de précédents travaux et a également pris en compte l’insécurité alimentaire, les variations saisonnières ainsi que l’impact de la COVID-19. Il a ainsi pris en compte les données d’admission des programmes de prise en charge communautaire de la malnutrition aiguë disponibles aux niveaux national et régional pour la période 2014-2019, les données de prévalence tirées d’enquêtes nutritionnelles, les données démographiques tirées de recensements nationaux, ainsi que des données sur l’insécurité alimentaire et nutritionnelle tirées du Cadre Harmonisé. Pour estimer le nombre total de cas sur la période d’avril à décembre 2020, l’hypothèse de départ était que le taux de couverture du programme était de 100 %. Pour l’année 2020, le nombre d’enfants émaciés a été estimé à 5,35 millions, un chiffre supérieur à l’estimation initiale de 4,54 millions de cas. Le modèle mathématique a permis de déterminer des facteurs de correction d’incidence trimestriels spécifiques à la région du Sahel, tenant compte de l’insécurité alimentaire, des variations saisonnières et de l’impact de la COVID-19. 

Introduction

L’émaciation est un problème de santé publique mondial qui entraîne une hausse de la morbidité et de la mortalité infantiles. La prévalence mondiale de l’émaciation chez les enfants de moins de cinq ans a été estimée à 47 millions de cas en 2019, dont 7,9 millions en Afrique de l’Ouest et du Centre (UNICEF, Organisation mondiale de la Santé [OMS] et Banque mondiale, 2020). La prévalence est estimée au moyen d’enquêtes transversales. Cependant, comme les données de prévalence correspondent à une situation précise dans le temps, certains cas ne sont pas recensés et le nombre de cas d’émaciation est donc sous-estimé. Les estimations d’incidence, qui sont établies à partir d’études de cohorte longitudinales, permettent de prendre en compte l’apparition de nouveaux cas au fil du temps et offrent donc une estimation plus précise du nombre de cas (Insanaka et al., 2016). En l’absence d’études longitudinales disponibles, le nombre de cas peut être estimé en utilisant le rapport spécifique au contexte entre la prévalence et l’incidence (Bulti et al., 2017). La durée moyenne de la maladie est calculée à partir du moment où un cas prévalent guérit, décède ou ne fait plus partie de la population à l’étude. Lorsque l’incidence est stable pour toute la durée de la maladie, la prévalence est estimée comme le produit de l’incidence et de la durée moyenne de la maladie. De simples substitutions permettent alors de déduire le nombre de cas, en tenant compte de la taille de la population, de la prévalence et du facteur de correction d’incidence (K). L’encadré 1 décrit la formule actuellement en usage pour estimer le nombre de cas d’émaciation selon cette méthode (Bulti et al., 2017). 

Encadré 1 : Formule actuellement utilisée pour estimer le nombre de cas d’émaciation

Les recherches montrent qu’à l’échelle mondiale, les gouvernements, les organismes des Nations Unies et les partenaires de mise en œuvre de la prise en charge communautaire de la malnutrition aiguë (PCMA) fixent à 7,5 mois la durée moyenne d’un épisode de malnutrition aiguë sévère non traité pour une période de planification d’un an, ce qui donne un facteur de correction d’incidence (K) de 1,6 (Garenne et al., 2009). Cependant, certains pays ont récemment signalé que l’utilisation de cette seule variable K a conduit à une sous-estimation du nombre de cas (Bulti et al., 2017).

En 2020, une demande urgente a été adressée au bureau régional du Programme alimentaire mondial (PAM) pour l’Afrique de l’Ouest et du Centre par le groupe de travail régional (Afrique de l’Ouest) sur la sécurité alimentaire et la nutrition (FSNWG)1 afin d’écarter tout risque de sous-estimation du nombre de cas d’émaciation dans les pays du G5 Sahel (Burkina Faso, Mali, Mauritanie, Niger et Tchad) et au Sénégal, en tenant compte de l’insécurité alimentaire, des variations saisonnières et de l’impact de la COVID-19. En réponse à cette demande, nous avons élaboré un modèle mathématique fondé sur le modèle de détermination du nombre de cas mis au point par Mark Myatt (Myatt, 2012) ainsi que sur des expériences régionales. Cet article décrit les ajustements que nous avons réalisés et les équations que nous avons utilisées pour aboutir à ce modèle révisé d’estimation du nombre de cas.

Méthodes

Sources des données et hypothèses

Le modèle a été élaboré à partir des leçons apprises de précédentes analyses du nombre de cas, de données nationales et régionales existantes sur les admissions dans des programmes de PCMA au cours des cinq années précédentes (2014-2019), de données de prévalence tirées d’enquêtes nutritionnelles dans les pays du G5 Sahel et au Sénégal, de données démographiques tirées de recensements nationaux, ainsi que de données sur l’insécurité alimentaire et nutritionnelle tirées du Cadre Harmonisé2. Pour estimer le nombre total de cas sur la période d’avril à décembre 2020, l’hypothèse de départ était que le taux de couverture du programme était de 100 %. La validité technique du modèle a été examinée et approuvée par le Groupe de travail régional sur la sécurité alimentaire et la nutrition.

Au vu de l’augmentation du nombre de cas d’émaciation chez les enfants de 6 à 59 mois durant la période de soudure (avril-septembre) et des importantes variations de la durée moyenne d’un épisode d’émaciation observées dans la région, le Groupe de travail régional sur la sécurité alimentaire et la nutrition ainsi que les groupes thématiques nationaux de nutrition et de sécurité alimentaire ont convenu que le schéma d’émaciation proposé et la durée moyenne d’un épisode devraient être calculés selon des trimestres calendaires standards3. En outre, comme la pandémie n’a été déclarée qu’après mars 2020, le facteur de correction d’incidence utilisé pour estimer le nombre de cas d’émaciation au premier trimestre était de K=1,6.

Révisions introduites pour tenir compte de l’insécurité alimentaire, des variations saisonnières et de l’impact de la COVID-19

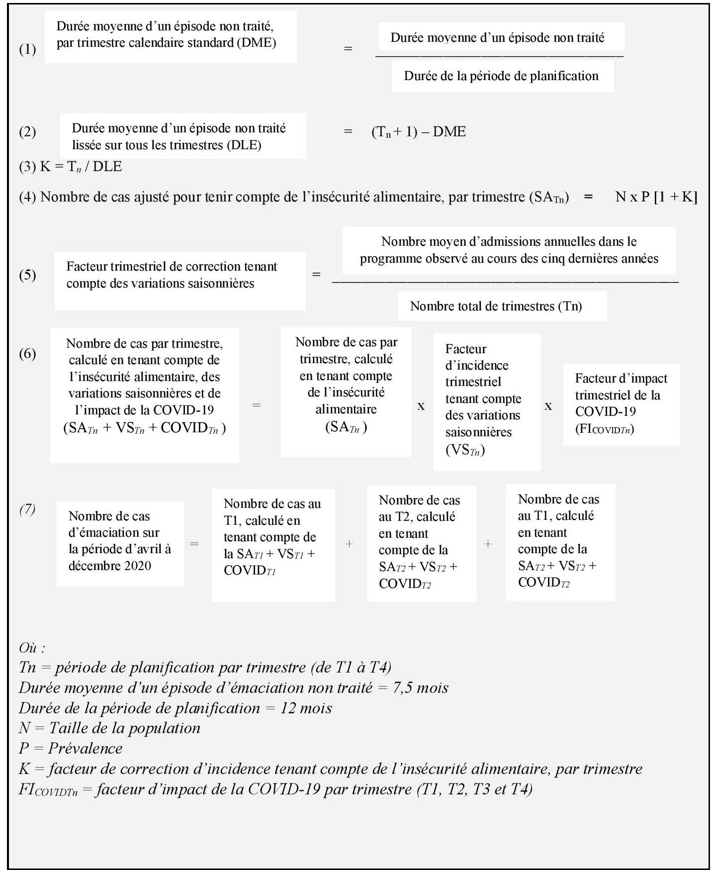
La durée moyenne d’un épisode d’émaciation a été estimée en multipliant la période de planification par trimestre (Tn) et le quotient de la durée moyenne mondiale d’un épisode non traité (7,5 mois) pour une période de planification d’un an (encadré 2, équation 1). Un lissage a été appliqué sur les données des trois mois de chaque trimestre pour calculer la durée moyenne d’un épisode non traité, afin de réduire et de contrôler les variations aléatoires (encadré 2, équation 2). Le facteur de correction d’incidence trimestriel tenant compte de l’insécurité alimentaire a été calculé en divisant la période de planification par trimestre (Tn) par la durée moyenne lissée d’un épisode non traité (DLE) (encadré 2, équation 3). Le nombre de cas d’émaciation a ensuite été ajusté en fonction du facteur de correction d’incidence tenant compte de l’insécurité alimentaire par trimestre (SATn), tel que présenté en détail dans l’encadré 2 (équation 4). Pour tenir compte des variations saisonnières, les données d’admission des cinq années précédentes ont été analysées et la moyenne a été lissée afin de déterminer le nombre de cas moyen sur les trimestres précédemment mentionnés (Tn) (encadré 2, équation 5).

Pour déterminer l’impact de la pandémie de COVID-19 sur le nombre de cas d’émaciation, diverses expériences, données de PCMA, données d’admission dans le cadre de la crise Ebola (2014-2016) et données de l’Organisation mondiale de la Santé (OMS, 2016) ont été utilisées afin d’estimer l’augmentation du nombre attendu de nouveaux cas pour chaque trimestre (encadré 2, équation 6). Cette méthode a ensuite été utilisée pour estimer le nombre de cas d’émaciation en tenant compte de l’insécurité alimentaire, des variations saisonnières et de la COVID-19 sur la période d’avril à décembre 2020 (encadré 2, équation 7).

Résultats

Dans le cadre de la première révision, qui consistait à estimer la durée lissée d’un épisode d’insécurité alimentaire par trimestre, les facteurs de correction d’incidence se sont révélés être les suivants : 1,6 au premier trimestre, 1,85 au deuxième trimestre, 2,06 au troisième trimestre et 2,18 au quatrième trimestre. Le tableau 1 présente les facteurs de correction d’incidence trimestriels tenant compte de l’insécurité alimentaire qui en résultent. Il s’est avéré que ces facteurs de correction augmentaient considérablement chaque trimestre, le facteur de correction K ayant même augmenté de plus de 30 % au quatrième trimestre. La deuxième révision d’estimation a permis d’établir que les variations saisonnières avaient une influence de 20 à 25 % sur le nombre de cas d’émaciation.

Tableau 1 : Estimations du facteur de correction d’incidence ajusté pour tenir compte de l’insécurité alimentaire, par trimestre

Concernant l’impact de la COVID-19 sur l’émaciation, la troisième révision apportée aux estimations a révélé une augmentation du nombre initial attendu de nouveaux cas, cette augmentation s’établissant à 0 % au premier trimestre, 10 % au deuxième trimestre, 15% au troisième trimestre et 20 % au quatrième trimestre. Cette révision tient compte de l’impact négatif des mesures de restriction sur l’accès aux soins de santé, les délais de diagnostic et de traitement de l’émaciation, l’accès aux produits alimentaires et d’autres aspects socio-économiques (PAM, 2020).

Le tableau 2 présente le nombre initial de cas d’émaciation, calculé en appliquant un facteur de correction d’incidence de 1,6, ainsi que le nombre de cas ajusté pour tenir compte de l’insécurité alimentaire, des variations saisonnières et de l’impact de la COVID-19 en 2020. Le calcul du nombre de cas d’émaciation avec un facteur K de 1,6 a permis de démontrer que le nombre annuel de cas d’émaciation était largement sous-estimé, puisque quelque 800 000 cas n’avaient pas été pris en compte dans les estimations initiales. Ce chiffre correspond à une sous-estimation de 18 % du nombre de cas initialement prévu pour la période d’avril à décembre 2020.

Tableau 2 : Estimations du nombre de cas d’émaciation pour l’année 2020, en tenant compte de l’insécurité alimentaire, des variations saisonnières et de l’impact de la COVID-19 dans les pays du G5 Sahel et au Sénégala

Discussion

Les estimations améliorées du nombre de cas ont été utilisées pour identifier les zones géographiques prioritaires nécessitant une aide urgente. Dans l’ensemble, les estimations révisées du nombre de cas ont permis à la région d’ajuster et d’orienter les activités et les ressources prévues aux fins de la lutte contre l’émaciation dans les zones les plus durement touchées.

De même, les pays du G5 Sahel et le Sénégal ont pu utiliser les estimations révisées du nombre de cas pour éclairer les analyses des zones sensibles au niveau national, ce qui a permis d’identifier de manière précoce les zones prioritaires et d’ajuster l’intervention du PAM en matière de prévention et de traitement de l’émaciation. Ces ajustements ont permis au PAM d’augmenter de 15 à 30 % le nombre de ses bénéficiaires dans les six pays. Les estimations révisées du nombre de cas ont par ailleurs servi à orienter des activités de recherche régionale telles que l’analyse « Combler le déficit en nutriments » en cours, qui consiste à identifier et à modéliser des approches multisectorielles de prévention de la malnutrition au Sahel.

L’organisation de consultations transparentes et la recherche de consensus avec les pays (gouvernements, organisations non gouvernementales et organismes des Nations Unies) ont permis au modèle révisé de produire des estimations de manière coordonnée et de susciter l’adhésion, ce qui constitue l’une des leçons essentielles apprises de cette expérience.

La prise de décisions fondée sur des données probantes est cruciale pour susciter un changement durable et, dans le contexte de la pandémie de COVID-19, le modèle a permis à la région de produire des estimations précises du nombre de cas. En appliquant des trimestres calendaires standard, le modèle a pu tenir compte des variations saisonnières du nombre de cas d’émaciation observées dans toute la région du Sahel.

Conclusion

Le modèle mathématique révisé présenté dans cet article a permis d’estimer des facteurs de correction d’incidence trimestriels spécifiques à la région du Sahel, en tenant compte de l’insécurité alimentaire, des variations saisonnières et de l’impact de la COVID-19. Les valeurs trimestrielles des facteurs de correction estimés pour 2020 à la lumière des données démographiques, de prévalence et de couverture recueillies de 2014 à 2019 ont permis d’estimer le nombre d’enfants émaciés à 5,35 millions, ce qui semble plus réaliste que l’estimation initiale de 4,54 millions. En l’absence de données sanitaires et nutritionnelles actualisées pendant la pandémie de COVID-19, cette méthode de calcul fondée sur des facteurs de correction d’incidence tenant compte de l’insécurité alimentaire, des variations saisonnières et de l’impact de la COVID-19 peut être employée pour améliorer l’exactitude des estimations du nombre de cas d’émaciation dans les pays du G5 Sahel et au Sénégal.

Pour en savoir plus, veuillez contacter Katrien Ghoos à l’adresse katrien.ghoos@wfp.org.


1 Le Groupe de travail régional sur la sécurité alimentaire et la nutrition (FSNWG) est basé à Dakar, au Sénégal. Placé sous l’égide du Bureau de la coordination des affaires humanitaires, il se compose d’antennes régionales de différents organismes des Nations Unies, de donateurs, ainsi que d’organisations non gouvernementales internationales qui interviennent en Afrique de l’Ouest et du Centre. 

2 Le Cadre Harmonisé est l’équivalent en Afrique de l’Ouest du cadre intégré de classification de la sécurité alimentaire (IPC). Il fournit une méta-analyse des données provenant des systèmes d’information existants sur l’agriculture, l’économie des ménages, les habitudes de consommation alimentaire, la santé et la nutrition afin d’évaluer l’insécurité alimentaire et nutritionnelle par degré de gravité.

3 Les trimestres calendaires standards ont été définis comme suit : janvier-mars (trimestre 1), avril-juin (trimestre 2), juillet-septembre (trimestre 3) et octobre-décembre (trimestre 4) ; les périodes de planification par trimestre ont été définies comme suit : trois mois pour le trimestre 1, six mois pour le trimestre 2, neuf mois pour le trimestre 3 et douze mois pour le dernier trimestre.


Références

Bulti, A, Briend, A, Dale, N M, De Wagt, A, Chiwile, F, Chitekwe, S, Isokpunwu, C, Myatt, M (2017) Improving estimates of the burden of severe acute malnutrition and predictions of caseload for programs treating severe acute malnutrition: experiences from Nigeria. Archives of Public Health 75:66

Garenne, M, Willie, D, Maire, B, Fontaine, O, Eeckels, R, Briend, A, Van den Broeck, J (2009) Incidence and duration of severe wasting in two African populations. Public Health Nutr. 2009;12(11):1974–82.

Isanaka, S, Boundy, E, Grais, R F, Myatt, M and Briend, A (2016) Improving Estimates of Numbers of Children With Severe Acute Malnutrition Using Cohort and Survey Data. Am J Epidemiol. 2016;184(12):861–869

Myatt, M (2012) How do we estimate caseload for SAM and / or MAM in children 6 – 59 months in a given time period? Retrieved from: https://www.humanitarianresponse.info/sites/www.humanitarianresponse.info/files/documents/files/caseload_cmam-june-2012.pdf

UNICEF, World Health Organization and the World Bank (2020) UNICEF-WHO-World Bank Joint Child Malnutrition Estimates. UNICEF, New York; WHO, Geneva; The World Bank, Washington, DC.

World Food Programme (2020) Update on the impact of Covid-19 on food and nutrition security in West and Central Africa. World Food Programme. Retrieved from: http://www.food-security.net/en/document/update-on-the-impact-of-covid-19-on-food-and-nutrition-security-in-west-and-central-africa/

World Health Organization (2016) Ebola data and statistics - situation summary. World Health Organization. Retrieved from: https://apps.who.int/gho/data/view.ebola-sitrep.ebola-summary-latest.%20Accessed%20on%20December%2030


Encadré 2 : Formule révisée pour le calcul du nombre de cas d’émaciation, en utilisant le facteur de correction d’incidence trimestriel ajusté pour tenir compte de l’insécurité alimentaire, des variations saisonnières et de la COVID-19 

Published 

About This Article

Article type: 
Original articles

Download & Citation

Recommended Citation
Citation Tools